Chapter 6 – Differentiation on
and Other Normed Linear Spaces
1. Directional and Partial Derivatives
In Chapter 5 we considered functions f : E1 → E of one real variable.
Now we take up functions f : E′ → E where both E′ and E are normed spaces.
The scalar field of both is always assumed the same: E1 or C (the complex field). The case E = E∗ is excluded here; thus all is assumed finite.
We mostly use arrowed letters
for vectors in the domain space E′, and nonarrowed letters for those in E and for scalars.
As before, we adopt the convention that f is defined on all of E′, with f(~x) = 0 if not defined otherwise.
Note that, if ~p ∈ E′, one can express any point
as
![]()
with t ∈ E1 and ~u a unit vector. For if
set
![]()
and if
set t = 0, and any ~u will do. We often use the notation
![]()
First of all, we generalize Definition 1 in Chapter 5,
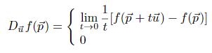
Definition 1
Given
, we define the directional derivative of f along ~u (or ~u-directed derivative of f) at ~p by
![]()
if this limit exists in E (finite). We also define the ~u-directed derived function,
![]()
as follows. For any ![]()
if this limit exists, otherwise.
Thus
is always defined, but the name derivative is used only if the limit (1) exists (finite). If it exists for each
in a set B ⊆ E′, we call
(in classical notation ∂f/∂~u) the ~u-directed derivative of f on B.
Note that, as t → 0,
tends to ~p over the line
Thus
can be treated as a relative limit over that line. Observe that it depends on both the direction and the length of
. Indeed, we have the following result.








